英文輪読第9回 7月2日


1.目黒  2.小野崎  3.戸松  4.渡辺  5.鈴木  6.AZLI

TOPへ戻る


目黒 訳

表面の放射状の置き換えは、以下によって与えられる。

siki


また、

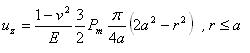
siki


そしてそれは、今の事においてr>aとなるUrは、後の式5.4.2g, 5.4.4f,そして5.4.5jに与えられる、球状、筒状、円錐状の圧子と同じである事を通知するだろう。 試験片内の点において、r=0のZ軸に沿っていて、はチモシェンコとグーディアは与えた。

siki


siki


試験片内の点において、スネッドンは与えた。

siki


試験片の半分の内部の一般的な点における応力分布の分析的な表現は、式5.4.1bの積分は曖昧な積分で、すべてを解くことはできないが、例として、Z=0、R=0のようにもっとも便利な座標系なので、得ることは難しい。 分析結果の複雑さは、有限要素法を使うことによって便利に迂回することができ、また、内部に含まれる応力分布の、この手順を使った計算は、Fig.5.4.2に示されている。

5.4.2 球状圧子
垂直加重分布の直下の球状圧子は、ヘルツによって与えられた。
TOPへ戻る


小野崎 訳

 

図5.4.1に示されているように、圧力分布は式5.4.2aから求められ、σzは接触中心で最大値1.5Pmになり、(σzは)接触円の端で0になる。 接触円の外側で垂直応力σzは0、このとき自由表面にある。 試料の接触円内表面の点での変位、それは元の試料の自由表面に関して計測されるもので、次の式のようになる。

siki


そして接触円の外側は次のようになる。

siki


式5.4.2bと5.4.2cは、式5.4.2aから求められる圧力分布に従って、試料の表面の点の変位を求める。 完全に硬い圧子の特別な場合、r=0のとき式5.4.2bで計算すると、元の試料表面から真下への侵入深さと、圧子と試料の二点間の相互の近づいた距離も求まる。 しかし一般的に圧子の弾性変形も考慮されなければならない第6章にあるように。 式5.4.2bはr/a=1での接触円の元の表面から真下への深さは、正確にr=0での全体の深さの半分であることを示している。 式5.4.2bと5.4.2cを使って計算された表面の点の変位は図5.4.1に示されている。


TOPへ戻る
 

戸松 訳

接触円内部では、表面での半径の圧力分布は以下のようになる。

siki


そして接触円の外側表面では

siki


接触円の外側表面における半径方向の転移およびしたがって半径応力は どんな接触円の中の圧力の対称分布でも同じであることを示すことができる。 すなわち方程式5.4.2eはr>aであるためには円筒形や円錐の圧子になる。 σの最大値はr=aで起こる。 方程式5.4.2dと5.4.2eを使って計算された材料の表面の半径応力は図5.4.1に示される。 半径方向の圧子の真下の表面における点転移は以下によって与えられる。

siki


ここで留意すべきはr>aのすべての値において表面の点転移は接触の中心に向かって内側となる。 接触領域の外側で半径方向の転移は前に(方程式5.4.1i)によって与えられた 一様圧力のケースと同じであり以下のように与えられる。

siki


表面における円周応力は常に主応力であり接触円の外側は半径応力の大きさと等しい。
TOPへ戻る
 

渡辺 訳

siki
試料内部では、応力は以下の式で計算される。

siki


siki


siki


siki
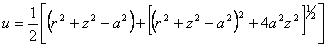
ここで、uは以下の式で計算される。

siki

この式はz=0でかつr/a<1の時注意しなければならず、その場合5.4.2式によって与えられるuの値は常に0である。しかし圧子の真下の応力の状態はzの値を十分小さくとることによって適当な精度で計算される。 rz面の主応力は次の式で表される。

siki

siki

siki

σ1とそれに垂直な面との間にある角度θpが作用している。そしてr軸(試料表面 図1.1.10参照)は次の式で表される。

siki

ここで、±はτrzの符号である。 本来は第4象限(z方向が負)を用いた押し込みの圧力場を示すことが習慣となっているが、この本に載っている角度を含む全ての式ではx軸(あるいはr軸)とy軸(あるいはz軸)が共に正である第一象限内の一般座標系を前提としている。 それ故に、5.4.2o式において、θpの正の値はσ1の作用線へ反時計回りに回転する正方向のr軸から取られる。
 

鈴木 訳

 
 
表面で(z=0でありr/aのすべての値のとき)、またr=0でz軸に沿った圧子の真下では、σr・σθ・σzは主応力である。 円周応力、σθはいつでも釣り合っているから主応力である。 試験片の表面では、圧子の真下で(rrに等しい第1の主応力σ1は接触円のエッジ部分で最大の引張りの値を持つ。 この応力はヘルツコーン亀裂の形成に関与している。 第2の主応力であるσθに等しいσ2は円周応力であり、またこの領域で圧縮である。 表面に沿って接触領域の外側では、σ2は−σ1に等しい。 またr=0で対称軸に沿った表面の真下では、二つの主応力は等しくσ2はσ1に等しい。 表面でのσ3の大きさは接触円の外側ではこの領域において自由表面に対して垂直に働いているから0である。 表面に沿ってr/aのすべての値では、σ1はσrに等しく、半径方向に働く。 σ2はもちろん円周応力であり、σ3は表面に垂直に働く。
 
 
TOPへ戻る
 

AZLI 訳

 
 
TOPへ戻る
 
 

 

1.目黒  2.小野崎  3.戸松  4.渡辺  5.鈴木  6.AZLI

TOPへ戻る
 

英文輪読トップページへ